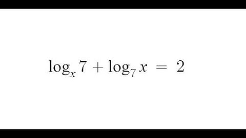
Grade 12 Advanced Functions — 8.6 Solving Logarithmic Equations

Tonton & Download Video Musik Gratis

⬇ DOWNLOAD NOW
Kalau muncul iklan pop-up, tutup lalu klik tombol kembali

Download lagu Grade 12 Advanced Functions — 8.6 Solving Logarithmic Equations secara gratis hanya untuk keperluan promosi. Dukung artis favorit kamu dengan membeli musik original di iTunes atau platform resmi lainnya.