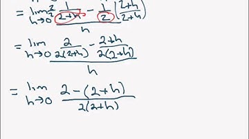
How to Find the Derivative of 1/sqrt(x) using the Definition of the Derivative

Tonton & Download Video Musik Gratis

⬇ DOWNLOAD NOW
Kalau muncul iklan pop-up, tutup lalu klik tombol kembali

Download lagu How to Find the Derivative of 1/sqrt(x) using the Definition of the Derivative secara gratis hanya untuk keperluan promosi. Dukung artis favorit kamu dengan membeli musik original di iTunes atau platform resmi lainnya.