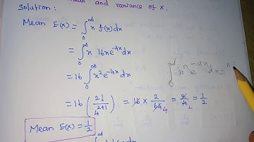
12th Maths Exercise 11.4 Q.No.6 Probability Distributions CHAPTER 11 – TN New Syllabus

Tonton & Download Video Musik Gratis

⬇ DOWNLOAD NOW
Kalau muncul iklan pop-up, tutup lalu klik tombol kembali

Download lagu 12th Maths Exercise 11.4 Q.No.6 Probability Distributions CHAPTER 11 – TN New Syllabus secara gratis hanya untuk keperluan promosi. Dukung artis favorit kamu dengan membeli musik original di iTunes atau platform resmi lainnya.