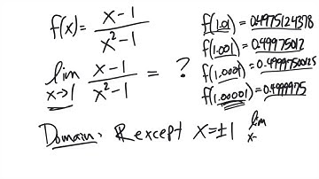
Math 2413 - Section 2.2 (part 2) - The Limit of a Function

Tonton & Download Video Musik Gratis

⬇ DOWNLOAD NOW
Kalau muncul iklan pop-up, tutup lalu klik tombol kembali

Download lagu Math 2413 - Section 2.2 (part 2) - The Limit of a Function secara gratis hanya untuk keperluan promosi. Dukung artis favorit kamu dengan membeli musik original di iTunes atau platform resmi lainnya.