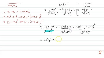
The locus of the point of intersection of the tangent to the circle x^2+y^2=a^2, which include an...

Tonton & Download Video Musik Gratis

⬇ DOWNLOAD NOW
Kalau muncul iklan pop-up, tutup lalu klik tombol kembali

Download lagu The locus of the point of intersection of the tangent to the circle x^2+y^2=a^2, which include an... secara gratis hanya untuk keperluan promosi. Dukung artis favorit kamu dengan membeli musik original di iTunes atau platform resmi lainnya.