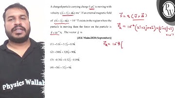
A particle of charge \( 1 \mu \mathrm{C} \) is at rest in a magneti...

Tonton & Download Video Musik Gratis

⬇ DOWNLOAD NOW
Kalau muncul iklan pop-up, tutup lalu klik tombol kembali

Download lagu A particle of charge \( 1 \mu \mathrm{C} \) is at rest in a magneti... secara gratis hanya untuk keperluan promosi. Dukung artis favorit kamu dengan membeli musik original di iTunes atau platform resmi lainnya.