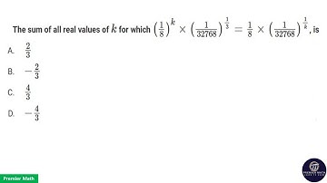
Question 16 2024 CAT Quantitative Ability Slot 3 The sum of all distinct real values of x that

Tonton & Download Video Musik Gratis

⬇ DOWNLOAD NOW
Kalau muncul iklan pop-up, tutup lalu klik tombol kembali

Download lagu Question 16 2024 CAT Quantitative Ability Slot 3 The sum of all distinct real values of x that secara gratis hanya untuk keperluan promosi. Dukung artis favorit kamu dengan membeli musik original di iTunes atau platform resmi lainnya.