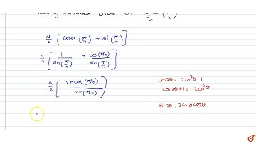
The sum of the radii of inscribed & circumscribed circles for an n sides regular polygon of side a

Tonton & Download Video Musik Gratis

⬇ DOWNLOAD NOW
Kalau muncul iklan pop-up, tutup lalu klik tombol kembali

Download lagu The sum of the radii of inscribed & circumscribed circles for an n sides regular polygon of side a secara gratis hanya untuk keperluan promosi. Dukung artis favorit kamu dengan membeli musik original di iTunes atau platform resmi lainnya.