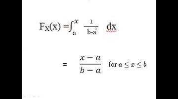
II ECE I SEM RVSP UNIFORM DENSITY FUNCTION

Tonton & Download Video Musik Gratis

⬇ DOWNLOAD NOW
Kalau muncul iklan pop-up, tutup lalu klik tombol kembali

Download lagu II ECE I SEM RVSP UNIFORM DENSITY FUNCTION secara gratis hanya untuk keperluan promosi. Dukung artis favorit kamu dengan membeli musik original di iTunes atau platform resmi lainnya.