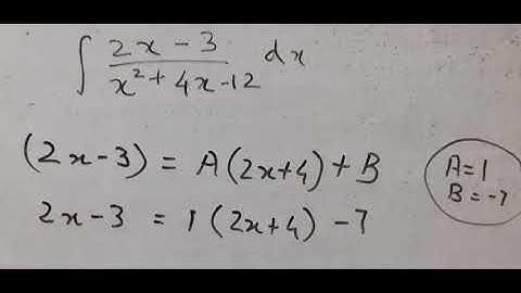
11th Std Maths Ex.11.11 1(i) Integrate 2x-3/ x²+4x-12

Tonton & Download Video Musik Gratis

⬇ DOWNLOAD NOW
Kalau muncul iklan pop-up, tutup lalu klik tombol kembali

Download lagu 11th Std Maths Ex.11.11 1(i) Integrate 2x-3/ x²+4x-12 secara gratis hanya untuk keperluan promosi. Dukung artis favorit kamu dengan membeli musik original di iTunes atau platform resmi lainnya.