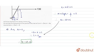
The acceleration of particle varies with time as shown. (a) Find an expression for velocity in te...

Tonton & Download Video Musik Gratis

⬇ DOWNLOAD NOW
Kalau muncul iklan pop-up, tutup lalu klik tombol kembali

Download lagu The acceleration of particle varies with time as shown. (a) Find an expression for velocity in te... secara gratis hanya untuk keperluan promosi. Dukung artis favorit kamu dengan membeli musik original di iTunes atau platform resmi lainnya.