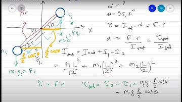
There is a system of two ⊥r rods each of length l and mass m. WEP 10 DPP Q18

Tonton & Download Video Musik Gratis

⬇ DOWNLOAD NOW
Kalau muncul iklan pop-up, tutup lalu klik tombol kembali

Download lagu There is a system of two ⊥r rods each of length l and mass m. WEP 10 DPP Q18 secara gratis hanya untuk keperluan promosi. Dukung artis favorit kamu dengan membeli musik original di iTunes atau platform resmi lainnya.