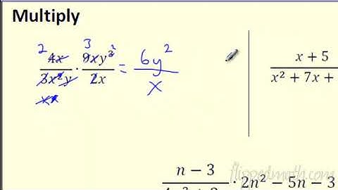
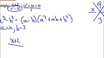
Algebra 2 Chapter 8 Section 4 Lecture - Multiply and Divide Rational Expressions

Tonton & Download Video Musik Gratis

⬇ DOWNLOAD NOW
Kalau muncul iklan pop-up, tutup lalu klik tombol kembali

Download lagu Algebra 2 Chapter 8 Section 4 Lecture - Multiply and Divide Rational Expressions secara gratis hanya untuk keperluan promosi. Dukung artis favorit kamu dengan membeli musik original di iTunes atau platform resmi lainnya.