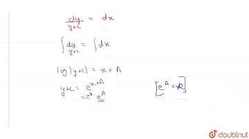
The curve satisfying the differential equation, `ydx-(x + 3y^2)dy = 0` and passingthrough the

Tonton & Download Video Musik Gratis

⬇ DOWNLOAD NOW
Kalau muncul iklan pop-up, tutup lalu klik tombol kembali

Download lagu The curve satisfying the differential equation, `ydx-(x + 3y^2)dy = 0` and passingthrough the secara gratis hanya untuk keperluan promosi. Dukung artis favorit kamu dengan membeli musik original di iTunes atau platform resmi lainnya.