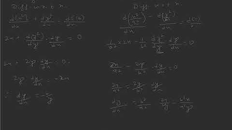
85 Second Derivative and Implicit Differentiation NEB class 11 Basic Maths for NEB in NEPALI 1

Tonton & Download Video Musik Gratis

⬇ DOWNLOAD NOW
Kalau muncul iklan pop-up, tutup lalu klik tombol kembali

Download lagu 85 Second Derivative and Implicit Differentiation NEB class 11 Basic Maths for NEB in NEPALI 1 secara gratis hanya untuk keperluan promosi. Dukung artis favorit kamu dengan membeli musik original di iTunes atau platform resmi lainnya.