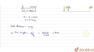
A particle is projected vertically upwards with velocity `40m//s.` Find the displacement and dis...

Tonton & Download Video Musik Gratis

⬇ DOWNLOAD NOW
Kalau muncul iklan pop-up, tutup lalu klik tombol kembali

Download lagu A particle is projected vertically upwards with velocity `40m//s.` Find the displacement and dis... secara gratis hanya untuk keperluan promosi. Dukung artis favorit kamu dengan membeli musik original di iTunes atau platform resmi lainnya.