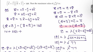
IIT JEE MAIN VECTOR ALGEBRA QUESTION - Let a =i + 2j + 3k, b = 3i +j −k and c be three vectors

Tonton & Download Video Musik Gratis

⬇ DOWNLOAD NOW
Kalau muncul iklan pop-up, tutup lalu klik tombol kembali

Download lagu IIT JEE MAIN VECTOR ALGEBRA QUESTION - Let a =i + 2j + 3k, b = 3i +j −k and c be three vectors secara gratis hanya untuk keperluan promosi. Dukung artis favorit kamu dengan membeli musik original di iTunes atau platform resmi lainnya.