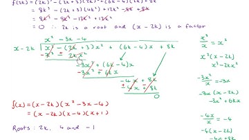
LC HL show that c and 2c are the roots of the cubic equation and find the other root

Tonton & Download Video Musik Gratis

⬇ DOWNLOAD NOW
Kalau muncul iklan pop-up, tutup lalu klik tombol kembali

Download lagu LC HL show that c and 2c are the roots of the cubic equation and find the other root secara gratis hanya untuk keperluan promosi. Dukung artis favorit kamu dengan membeli musik original di iTunes atau platform resmi lainnya.