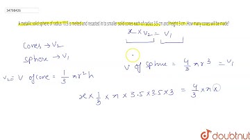
A solid metallic sphere of radius 10.5cm is melted and recast into a number of smaller cones........

Tonton & Download Video Musik Gratis

⬇ DOWNLOAD NOW
Kalau muncul iklan pop-up, tutup lalu klik tombol kembali

Download lagu A solid metallic sphere of radius 10.5cm is melted and recast into a number of smaller cones........ secara gratis hanya untuk keperluan promosi. Dukung artis favorit kamu dengan membeli musik original di iTunes atau platform resmi lainnya.