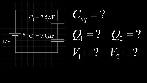
Physics 6.3.4.1 Determining equivalent capacitance and capacitance of each capacitor arranged-

Tonton & Download Video Musik Gratis

⬇ DOWNLOAD NOW
Kalau muncul iklan pop-up, tutup lalu klik tombol kembali

Download lagu Physics 6.3.4.1 Determining equivalent capacitance and capacitance of each capacitor arranged- secara gratis hanya untuk keperluan promosi. Dukung artis favorit kamu dengan membeli musik original di iTunes atau platform resmi lainnya.