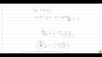
If the tangentat any point P on curve x^my^n=a^(m+n),coordinateaxesinAB thenshowthatAP:BPisaconstant

Tonton & Download Video Musik Gratis

⬇ DOWNLOAD NOW
Kalau muncul iklan pop-up, tutup lalu klik tombol kembali

Download lagu If the tangentat any point P on curve x^my^n=a^(m+n),coordinateaxesinAB thenshowthatAP:BPisaconstant secara gratis hanya untuk keperluan promosi. Dukung artis favorit kamu dengan membeli musik original di iTunes atau platform resmi lainnya.