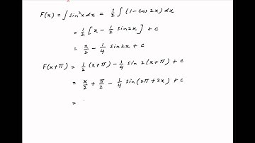
If `f(x)=f(pi+e-x) and int_e^pif(x)dx=2/(e+pi),` then `int_e^pi xf(x)dx` is equal to

Tonton & Download Video Musik Gratis

⬇ DOWNLOAD NOW
Kalau muncul iklan pop-up, tutup lalu klik tombol kembali

Download lagu If `f(x)=f(pi+e-x) and int_e^pif(x)dx=2/(e+pi),` then `int_e^pi xf(x)dx` is equal to secara gratis hanya untuk keperluan promosi. Dukung artis favorit kamu dengan membeli musik original di iTunes atau platform resmi lainnya.