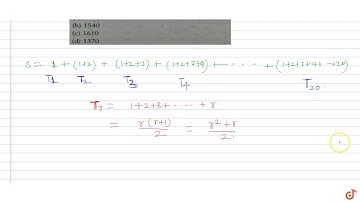
The sum of the first 35 terms of the series `1/2+1/3-1/4-1/2-1/3+1/4+1/2+1/3-1/4 ` is `-1/2` (b)...

Tonton & Download Video Musik Gratis

⬇ DOWNLOAD NOW
Kalau muncul iklan pop-up, tutup lalu klik tombol kembali

Download lagu The sum of the first 35 terms of the series `1/2+1/3-1/4-1/2-1/3+1/4+1/2+1/3-1/4 ` is `-1/2` (b)... secara gratis hanya untuk keperluan promosi. Dukung artis favorit kamu dengan membeli musik original di iTunes atau platform resmi lainnya.