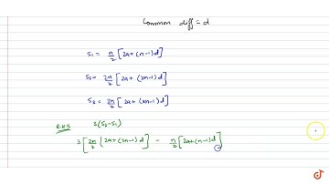
The sum of n, 2n, 3n terms of an A.P. are S1, S2 and S3 respectively. Prove that S3=3(S2-S1).

Tonton & Download Video Musik Gratis

⬇ DOWNLOAD NOW
Kalau muncul iklan pop-up, tutup lalu klik tombol kembali

Download lagu The sum of n, 2n, 3n terms of an A.P. are S1, S2 and S3 respectively. Prove that S3=3(S2-S1). secara gratis hanya untuk keperluan promosi. Dukung artis favorit kamu dengan membeli musik original di iTunes atau platform resmi lainnya.