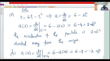
Acceleration of particle moving in straight line can be written as `a=(dv)/(dt)=v(dv)/(dx)`. From t

Tonton & Download Video Musik Gratis

⬇ DOWNLOAD NOW
Kalau muncul iklan pop-up, tutup lalu klik tombol kembali

Download lagu Acceleration of particle moving in straight line can be written as `a=(dv)/(dt)=v(dv)/(dx)`. From t secara gratis hanya untuk keperluan promosi. Dukung artis favorit kamu dengan membeli musik original di iTunes atau platform resmi lainnya.