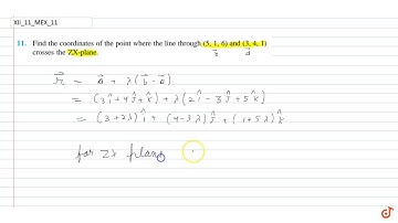
Find the coordinates of the point where the line through (5, 1, 6) and (3, 4,1) crosses the YZ-plane

Tonton & Download Video Musik Gratis

⬇ DOWNLOAD NOW
Kalau muncul iklan pop-up, tutup lalu klik tombol kembali

Download lagu Find the coordinates of the point where the line through (5, 1, 6) and (3, 4,1) crosses the YZ-plane secara gratis hanya untuk keperluan promosi. Dukung artis favorit kamu dengan membeli musik original di iTunes atau platform resmi lainnya.