Tonton & Download Video Musik Gratis
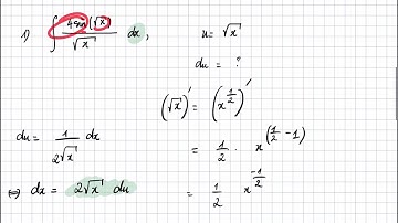
Download lagu sin sqrt(x) / sqrt(x) dx, u = sqrt(x) Evaluate the integral by making the given substitution. secara gratis hanya untuk keperluan promosi. Dukung artis favorit kamu dengan membeli musik original di iTunes atau platform resmi lainnya.