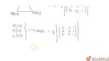
The vertices of a triangle ABC are A(3,0), B(0,6) and C(6,9). A line DE divides both AB and AC in...

Tonton & Download Video Musik Gratis

⬇ DOWNLOAD NOW
Kalau muncul iklan pop-up, tutup lalu klik tombol kembali

Download lagu The vertices of a triangle ABC are A(3,0), B(0,6) and C(6,9). A line DE divides both AB and AC in... secara gratis hanya untuk keperluan promosi. Dukung artis favorit kamu dengan membeli musik original di iTunes atau platform resmi lainnya.