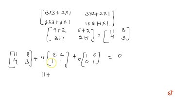
For the matrix A=[3 2 1 1] find numbers a and b such that A^2+aA+bI=0]|Determinants|Matrices|NCERT

Tonton & Download Video Musik Gratis

⬇ DOWNLOAD NOW
Kalau muncul iklan pop-up, tutup lalu klik tombol kembali

Download lagu For the matrix A=[3 2 1 1] find numbers a and b such that A^2+aA+bI=0]|Determinants|Matrices|NCERT secara gratis hanya untuk keperluan promosi. Dukung artis favorit kamu dengan membeli musik original di iTunes atau platform resmi lainnya.