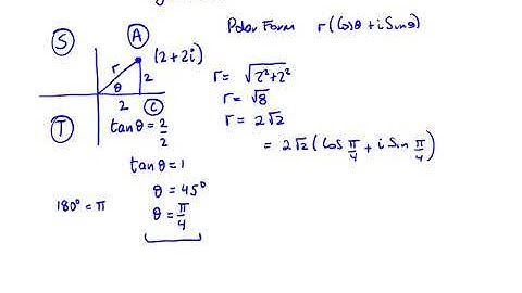
Convert the complex number 4+6i into polar form. Express the angle using degrees over the interval …

Tonton & Download Video Musik Gratis

⬇ DOWNLOAD NOW
Kalau muncul iklan pop-up, tutup lalu klik tombol kembali

Download lagu Convert the complex number 4+6i into polar form. Express the angle using degrees over the interval … secara gratis hanya untuk keperluan promosi. Dukung artis favorit kamu dengan membeli musik original di iTunes atau platform resmi lainnya.