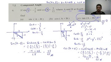
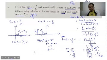
TUTORIAL SM015 TOPIC 7 W12 [CP EXERCISE Q1-10]

Tonton & Download Video Musik Gratis

⬇ DOWNLOAD NOW
Kalau muncul iklan pop-up, tutup lalu klik tombol kembali

Download lagu TUTORIAL SM015 TOPIC 7 W12 [CP EXERCISE Q1-10] secara gratis hanya untuk keperluan promosi. Dukung artis favorit kamu dengan membeli musik original di iTunes atau platform resmi lainnya.