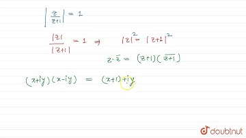
If n is a positive integer greater than unity z is a complex number satisfying the equation `z

Tonton & Download Video Musik Gratis

⬇ DOWNLOAD NOW
Kalau muncul iklan pop-up, tutup lalu klik tombol kembali

Download lagu If n is a positive integer greater than unity z is a complex number satisfying the equation `z secara gratis hanya untuk keperluan promosi. Dukung artis favorit kamu dengan membeli musik original di iTunes atau platform resmi lainnya.