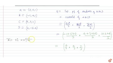
Consider a triangulat pyramid ABCD the position vector of whose angular points are A(3, 0, 1), B...

Tonton & Download Video Musik Gratis

⬇ DOWNLOAD NOW
Kalau muncul iklan pop-up, tutup lalu klik tombol kembali

Download lagu Consider a triangulat pyramid ABCD the position vector of whose angular points are A(3, 0, 1), B... secara gratis hanya untuk keperluan promosi. Dukung artis favorit kamu dengan membeli musik original di iTunes atau platform resmi lainnya.