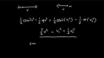
Amazing Chain Problem Solution | David Morin 5.94 Solution | Another frame of thinking!!

Tonton & Download Video Musik Gratis

⬇ DOWNLOAD NOW
Kalau muncul iklan pop-up, tutup lalu klik tombol kembali

Download lagu Amazing Chain Problem Solution | David Morin 5.94 Solution | Another frame of thinking!! secara gratis hanya untuk keperluan promosi. Dukung artis favorit kamu dengan membeli musik original di iTunes atau platform resmi lainnya.