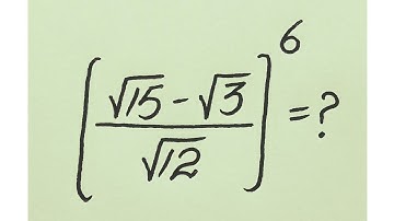
France l can you solve this? l Nice Exponential Problem l Tricky Solution l Math Olympiad

Tonton & Download Video Musik Gratis

⬇ DOWNLOAD NOW
Kalau muncul iklan pop-up, tutup lalu klik tombol kembali

Download lagu France l can you solve this? l Nice Exponential Problem l Tricky Solution l Math Olympiad secara gratis hanya untuk keperluan promosi. Dukung artis favorit kamu dengan membeli musik original di iTunes atau platform resmi lainnya.