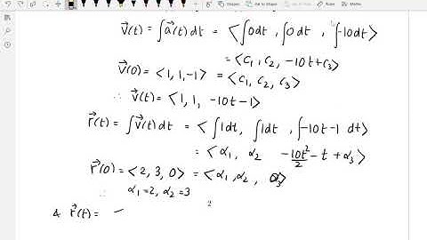
Section 13.4 Day 1 Tutorial - Motion in Space (Velocity and Acceleration)

Tonton & Download Video Musik Gratis

⬇ DOWNLOAD NOW
Kalau muncul iklan pop-up, tutup lalu klik tombol kembali

Download lagu Section 13.4 Day 1 Tutorial - Motion in Space (Velocity and Acceleration) secara gratis hanya untuk keperluan promosi. Dukung artis favorit kamu dengan membeli musik original di iTunes atau platform resmi lainnya.