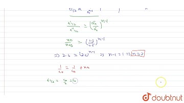
For a zero order reaction R -9 P, initial concentration of R is 1 M and after 60 seconds, concentra

Tonton & Download Video Musik Gratis

⬇ DOWNLOAD NOW
Kalau muncul iklan pop-up, tutup lalu klik tombol kembali

Download lagu For a zero order reaction R -9 P, initial concentration of R is 1 M and after 60 seconds, concentra secara gratis hanya untuk keperluan promosi. Dukung artis favorit kamu dengan membeli musik original di iTunes atau platform resmi lainnya.