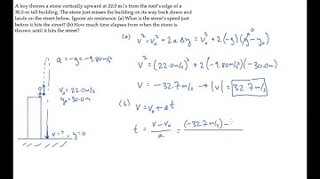
A stone is thrown vertically up from the top of a cliff with a velocity v at time t= 0.

Tonton & Download Video Musik Gratis

⬇ DOWNLOAD NOW
Kalau muncul iklan pop-up, tutup lalu klik tombol kembali

Download lagu A stone is thrown vertically up from the top of a cliff with a velocity v at time t= 0. secara gratis hanya untuk keperluan promosi. Dukung artis favorit kamu dengan membeli musik original di iTunes atau platform resmi lainnya.