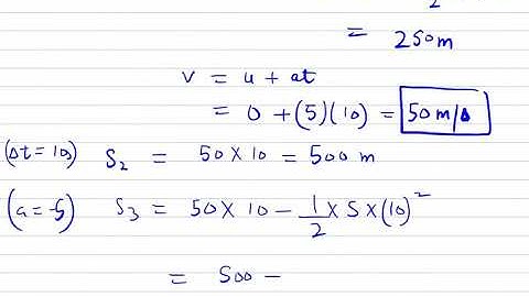
H.C Verma solutions || kinematics || 10.From the velocity—time plot shown in figure (3-E5),find the

Tonton & Download Video Musik Gratis

⬇ DOWNLOAD NOW
Kalau muncul iklan pop-up, tutup lalu klik tombol kembali

Download lagu H.C Verma solutions || kinematics || 10.From the velocity—time plot shown in figure (3-E5),find the secara gratis hanya untuk keperluan promosi. Dukung artis favorit kamu dengan membeli musik original di iTunes atau platform resmi lainnya.