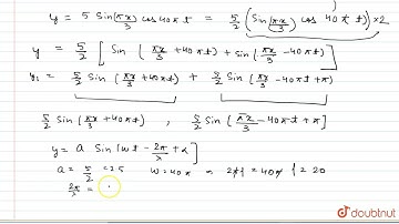
A string vibrate according to the equation `y = 5 sin ((pi x)/(3)) cos (40 pi t)` where

Tonton & Download Video Musik Gratis

⬇ DOWNLOAD NOW
Kalau muncul iklan pop-up, tutup lalu klik tombol kembali

Download lagu A string vibrate according to the equation `y = 5 sin ((pi x)/(3)) cos (40 pi t)` where secara gratis hanya untuk keperluan promosi. Dukung artis favorit kamu dengan membeli musik original di iTunes atau platform resmi lainnya.