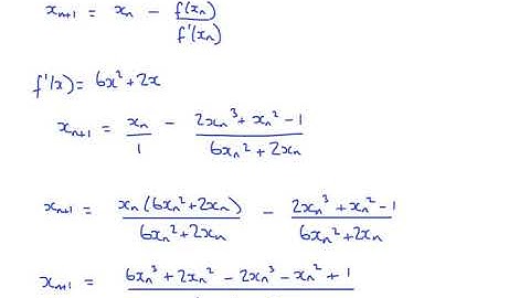
Edexcel A Level Maths, June 2018, Paper 2, Q5 (Newton Raphson Method)

Tonton & Download Video Musik Gratis

⬇ DOWNLOAD NOW
Kalau muncul iklan pop-up, tutup lalu klik tombol kembali

Download lagu Edexcel A Level Maths, June 2018, Paper 2, Q5 (Newton Raphson Method) secara gratis hanya untuk keperluan promosi. Dukung artis favorit kamu dengan membeli musik original di iTunes atau platform resmi lainnya.