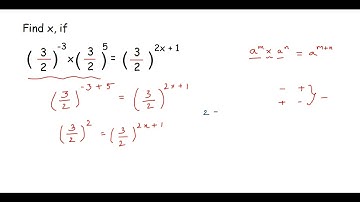
Bank Foundation 2025 | Quants Simplication Based on Exponents | By Siddharth Srivastava

Tonton & Download Video Musik Gratis

⬇ DOWNLOAD NOW
Kalau muncul iklan pop-up, tutup lalu klik tombol kembali

Download lagu Bank Foundation 2025 | Quants Simplication Based on Exponents | By Siddharth Srivastava secara gratis hanya untuk keperluan promosi. Dukung artis favorit kamu dengan membeli musik original di iTunes atau platform resmi lainnya.