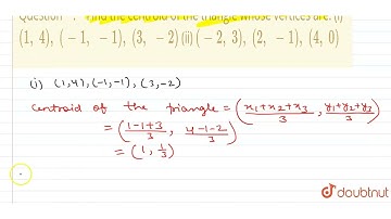
Find the centroid of the triangle whose vertices are: (i) (1,4),(-1,-1),(3,-2) (ii) (-2,3),(2,-1)...

Tonton & Download Video Musik Gratis

⬇ DOWNLOAD NOW
Kalau muncul iklan pop-up, tutup lalu klik tombol kembali

Download lagu Find the centroid of the triangle whose vertices are: (i) (1,4),(-1,-1),(3,-2) (ii) (-2,3),(2,-1)... secara gratis hanya untuk keperluan promosi. Dukung artis favorit kamu dengan membeli musik original di iTunes atau platform resmi lainnya.