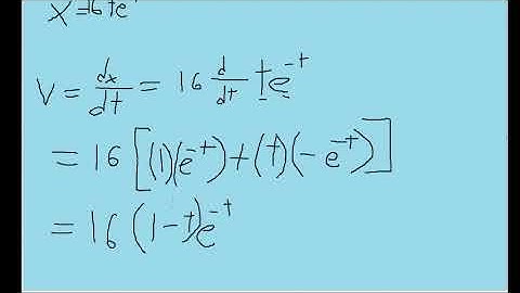
An electron moving along the x axis has a position given by x=16te−tm, where t is in seconds. How

Tonton & Download Video Musik Gratis

⬇ DOWNLOAD NOW
Kalau muncul iklan pop-up, tutup lalu klik tombol kembali

Download lagu An electron moving along the x axis has a position given by x=16te−tm, where t is in seconds. How secara gratis hanya untuk keperluan promosi. Dukung artis favorit kamu dengan membeli musik original di iTunes atau platform resmi lainnya.