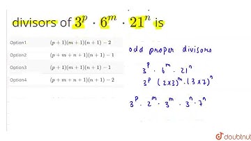
The number of odd proper divisors of `3^(p)*6^(q)*15^(r),AA p,q,r, in N`, is

Tonton & Download Video Musik Gratis

⬇ DOWNLOAD NOW
Kalau muncul iklan pop-up, tutup lalu klik tombol kembali

Download lagu The number of odd proper divisors of `3^(p)*6^(q)*15^(r),AA p,q,r, in N`, is secara gratis hanya untuk keperluan promosi. Dukung artis favorit kamu dengan membeli musik original di iTunes atau platform resmi lainnya.