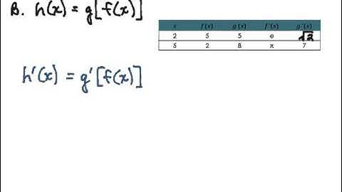
Activity 2.5.4, part d Applying the Chain Rule Given a Table of Values

Tonton & Download Video Musik Gratis

⬇ DOWNLOAD NOW
Kalau muncul iklan pop-up, tutup lalu klik tombol kembali

Download lagu Activity 2.5.4, part d Applying the Chain Rule Given a Table of Values secara gratis hanya untuk keperluan promosi. Dukung artis favorit kamu dengan membeli musik original di iTunes atau platform resmi lainnya.