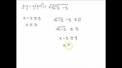
Composite Functions Domain Fractions & Square Roots / Radicals - Inverse Functions & Graphs

Tonton & Download Video Musik Gratis

⬇ DOWNLOAD NOW
Kalau muncul iklan pop-up, tutup lalu klik tombol kembali

Download lagu Composite Functions Domain Fractions & Square Roots / Radicals - Inverse Functions & Graphs secara gratis hanya untuk keperluan promosi. Dukung artis favorit kamu dengan membeli musik original di iTunes atau platform resmi lainnya.