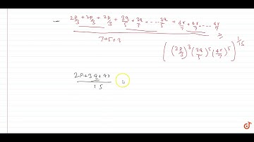
2p+3q+4r=15-maximum value of p^3q^5r^7 |#eamcet #jee#jeeadv#nda #objective #importantquestions

Tonton & Download Video Musik Gratis

⬇ DOWNLOAD NOW
Kalau muncul iklan pop-up, tutup lalu klik tombol kembali

Download lagu 2p+3q+4r=15-maximum value of p^3q^5r^7 |#eamcet #jee#jeeadv#nda #objective #importantquestions secara gratis hanya untuk keperluan promosi. Dukung artis favorit kamu dengan membeli musik original di iTunes atau platform resmi lainnya.