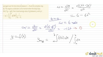
A solid body rotates about a stationary axis according to the lawq = 6 − 2 3 t t .Here, q is in

Tonton & Download Video Musik Gratis

⬇ DOWNLOAD NOW
Kalau muncul iklan pop-up, tutup lalu klik tombol kembali

Download lagu A solid body rotates about a stationary axis according to the lawq = 6 − 2 3 t t .Here, q is in secara gratis hanya untuk keperluan promosi. Dukung artis favorit kamu dengan membeli musik original di iTunes atau platform resmi lainnya.