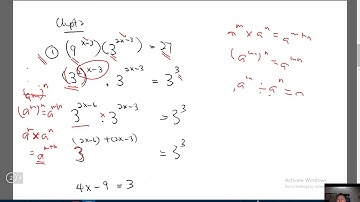
[Equation] How to Solve Indices Equation Easily | Add Maths 0606 Exam Question

Tonton & Download Video Musik Gratis

⬇ DOWNLOAD NOW
Kalau muncul iklan pop-up, tutup lalu klik tombol kembali

Download lagu [Equation] How to Solve Indices Equation Easily | Add Maths 0606 Exam Question secara gratis hanya untuk keperluan promosi. Dukung artis favorit kamu dengan membeli musik original di iTunes atau platform resmi lainnya.